Учебник Алгебры 11 Класс - regulationsapple
Алгебра и начала анализа, 11 класс. Часть 1 из ...
(Решено)Упр.2.11 ГДЗ Мордкович Семенов 11 класс...
(Решено)Упр.4.16 ГДЗ Мордкович Семенов 11 класс...
Алгебра 11 Класс Мордкович скачать - agentrutra...
(Решено)Упр.28.24 ГДЗ Мордкович Семенов 11 клас...
Решебник по алгебре Мордкович Семенов 11 класс
(Решено)Упр.31.28 ГДЗ Мордкович Семенов 11 клас...
ГДЗ по алгебре 11 класс
(Решено)Упр.29.11 ГДЗ Мордкович Семенов 11 клас...
Алгебра 11 класс - Мерзляк А.Г., Номировский Д....
(Решено)Упр.18.17 ГДЗ Мордкович Семенов 11 клас...
(Решено)Упр.30.31 ГДЗ Мордкович Семенов 11 клас...
Алгебра и начала математического анализа. 11 кл...
(Решено)Упр.15.17 ГДЗ Мордкович Семенов 11 клас...
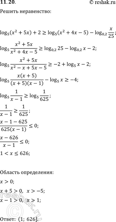
(Решено)Упр.11.20 ГДЗ Мордкович Семенов 11 клас...
(Решено)Упр.30.27 ГДЗ Мордкович Семенов 11 клас...
(Решено)Упр.11.19 ГДЗ Мордкович Семенов 11 клас...
Мордкович Алгебра 11 Класс Профильный Учебник -...
Учебник По Математике 11 Класс Мордкович Базовы...
решебник по Алгебре 11 класс к учебнику Колмого...
Алгебра 10 11 Класс Мордкович Учебник Pdf - boo...
(Решено)Упр.23.15 ГДЗ Мордкович Семенов 11 клас...
(Решено)Упр.17.4 ГДЗ Мордкович Семенов 11 класс...
(Решено)Упр.31.1 ГДЗ Мордкович Семенов 11 класс...
(Решено)Упр.17.11 ГДЗ Мордкович Семенов 11 клас...
(Решено)Упр.9.17 ГДЗ Мордкович Семенов 11 класс...
Гдз По Алгебре 11 Класс Мордкович Профильный Ур...
(Решено)Упр.9.18 ГДЗ Мордкович Семенов 11 класс...
(Решено)Упр.16.13 ГДЗ Мордкович Семенов 11 клас...
ГДЗ § 11 11.1 алгебра 11 класс Учебник, Задачни...
Самостоятельные Работы По Алгебре 11 Класс Морд...
(Решено)Тест Глава 3 ГДЗ Мордкович Семенов 11 к...