Равномерно убрзано праволинијско кретање - ppt ...
4.1. Вывод формулы тяги врд.
Теоретические положения Диаграммы растяжения
8.2.4. Определение потерь напора на трение по д...
Формула Ричардсона и правило Рунге
Formule ili memento iz Fizika za osmi razred os...
Драже
Формула Ра - уникальное драже Тенториум для ваш...
Formule ili memento iz Fizika za sedmi razred o...
Драже “Формула РА“ Тенториум - YouTube
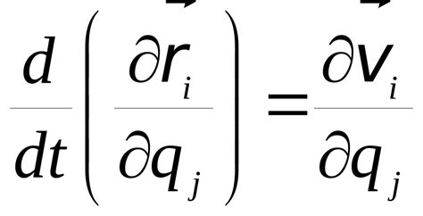
Уравнения Лагранжа II рода
Formula Drag
Формула РА - YouTube
FORMULE - ro i ru P i O | PDF
Силы, действующие на фрезу
1. Во сколько раз сила гравитационного притяжен...
Drag force formula Derivation Part 1 #easy #you...
Драже Формула Ра - YouTube
Помогите пожалуйста по физике, даю 50 балов! Ры...
Простая формула для определения радиуса дуги | ...
Формула Ра - драже с цветочной пыльцой, мёдом и...
Závodní auto dráha - formule | Aukro
13. Уравнения Лагранжа и Клеро
Истории создания. Драже ФОРМУЛА РА - YouTube
Ра фото 7 из 16 в галерее на - 24СМИ
Работа и энергия. Закон сохранения энергии в ме...
Как с помощью школьных формул по физике я вычис...
1.6. Анализ диаграммы растяжения
2. Найдите массу стального бруска, равномерно с...
Выразить из этой формулы "ро" ж - Школьные Знан...
§3.2. Правило рычага.