Хитин - покров насекомых
Опасно ли е да ядем хитин чрез буболечки, които...
Hittin?
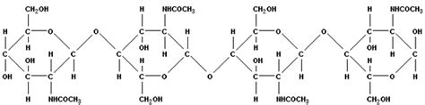
Хитин. Строение хитина. Муреин. Липиды.
Производство хитина из личинок Черной львинки |...
Материалы | Asher's Attic
hitin | Федеральный исследовательский центр «Фу...
Хотин - Wonders & Holidays
хитин
ДЦП.Восстановление Лены: Хитин и Хитозан
Хитин — свойства, получение и применение
ХИТИН Урал | Yekaterinburg
Углеводы - Растения– строение цветка, листа, ви...
Хитин — ВикиФур, русскоязычная фурри-энциклопедия
Хитин и хитозан - Биополимеры и перспективные м...
Хитсан - солнцезащитные системы | Kyiv
Хитин в классификации | Здоровье человека
Hittin' - YouTube Music
ХИТИН - Химия
Купить Хитин Китай Тайвань биомедицинских Фунаи...
Хитин и Хитозан. Получение, свойства и применен...
Фейк: «Хитин вызывает рак и не переваривается ч...
Хитин - YouTube
Презентация на тему: "Презентация по биологии 9...
Hittin - YouTube Music
Франшиза службы дезинфекции ХИТИН - цена в 2025...
Хитин — что это, польза, вред, состав, свойства...
Хитин | Wiki | Земли рассвета Свальбард Amino
Хотин | это... Что такое Хотин?
Хитин | PDF
hittin
ХИТИН