Купить Упакованный 500 50 сопротивление (1 евро...
2. Сопротивление проводника при 20 °С равно 25 ...
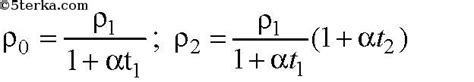
860. Найти удельное сопротивление стали при 50 ...
Чему равно сопротивление: 50. Чему равно сопрот...
Эквивалент Нагрузки 50 ом и вч вольтметр - КВ и...
Электрическое сопротивление проводников. Единиц...
Электрическое сопротивление - YouTube
Согласование 50 омной антенны с 75 омным кабелем
На схеме (рис. 9) R1=R2=R4=200 Ом, R3=300 Ом, R...
В электрической цепи изображенной на рисунке со...
1. Сопротивление медного провода при 0°С равно ...
Розрахуйте роботу, яку виконує сила Ампера, кол...
Удельное активное сопротивление алюминиевого ка...
Напряжение на спирали лампочки от карманного фо...
Антенны 50 ом и 75 ом.Замер. - YouTube
сопротивление человеческого тела в среднем сост...
4.5 Емкостное сопротивление
Сопротивление ППБ-50Г, 50 Вт, 100 Ом, 5-10%, - ...
Волновое сопротивление 50 или 75 Ом, медненое ж...
Катушка сопротивлением 50 Ом « Учи физику!
Чему равно дифференциальное сопротивление на уч...
Эквивалент нагрузки 50 Ом для УКВ - YouTube
Помогите найти сопротивление электронных цепей,...
Найти удельное сопротивление стали при 50 °С
Мини динамик сопротивление 50 Ом мощность 0.5 В...
Что такое сопротивление - Самое простое объяснение
Электрическое сопротивление - презентация онлайн
Эквивалент нагрузки 50 Ом - YouTube
Специфичното съпротивление на проводника - YouTube
848. Три проводника сопротивлением 10 Ом, 25 Ом...