Көмірсу. Көмірсулардың қасиеттері. Көмірсудың м...
Сустарад | Продукция Сашера-мед по низким ценам...
Моносахариды (монозы)
Супероксиддисмутаза - найпотужніший антиоксидан...
Вугдеводи. Моносахариди - презентация онлайн
CuZnSOD
Меди сульфат
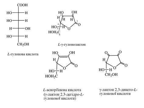
Отдельные представители моносахаридов
Минералогия (общая часть, описательная часть: с...
Информация о компании-производителе мази Сусталит
Презентация на тему: "Көмірсулар - химиялық құр...
Химические свойства
Сусталь для суставов в монодозах от Сашера-Мед ...
КУПИТЬ СУСТАЛЬ Sustal В РОССИИ С ДОСТАВКОЙ СО С...
Көмірсулар. Моносахаридтер. Жіктелуі. Гексозала...
Магазин целебных трав, товаров для здоровья, фи...
Көмірсулар, моносахаридтер
2. Стереоизомерия моносахаридов [23, 27]
Препарат Сусталь Состав - YouTube
SUSTANDROL 10ml x 250mg Balkan Pharmaceuticals ...
Fermentierter Honig: Der Vorfahre des Medowucha...
Углеводы. Моносахариды - online presentation