ГДЗ Алгебра 9 класс. Сборник заданий. Кузнецова...
ГДЗ Алгебра 9 класс. Сборник заданий. Задание 89
ГДЗ Алгебра 9 класс. Сборник заданий. Задание 688
Алгебра 9 класс учебники
ГДЗ Алгебра 9 класс. Сборник заданий. Задание 217
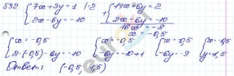
ГДЗ Алгебра 9 класс. Сборник заданий. Задание 532
ГДЗ Алгебра 9 класс. Сборник заданий. Задание 796
ГДЗ Алгебра 9 класс. Сборник заданий. Вариант 1
гдз алгебра 9 класс бевз
ГДЗ Алгебра 9 класс. Сборник заданий. Задание 878
ГДЗ Алгебра 9 класс. Сборник заданий. Задание 894
ГДЗ Алгебра 9 класс. Сборник заданий. Задание 842
ГДЗ Алгебра 9 класс. Сборник заданий. Вариант 2
ГДЗ Алгебра 9 класс. Сборник заданий. Задание 864
ГДЗ Алгебра 9 класс. Сборник заданий. Задание 811
ГДЗ Алгебра 9 класс. Сборник заданий. Задание 521
Алгебра 9 клас | PDF