Din 1029 1978-07 | PDF
Design for Number 1029 Clothing Company. | Clot...
1029 | PDF
1029-2 - YouTube
147 1029 Images, Stock Photos, 3D objects, & Ve...
Premium Vector | 1029
DIN_1029_Unequal_angles | PDF
Din en 1092-1 - 2008 | PDF
ML-1029-Custom - MZooka Banners
1029-010 Fabric
1029① - YouTube
1029 Text Effect and Logo Design Number
101 057 schiebt IC 1290 am 10.12.2022 aus dem S...
Mod 1029 | PDF
DIN EN 10279
IC-1029 R&D Batteries, Inc.
IS 1029 - YouTube
MERCEDES W246 AMG LINE PARTS - Propel Autoparts
Din en 10029-Germ | PDF
1029
1029 Stock Illustrations – 6 1029 Stock Illustr...
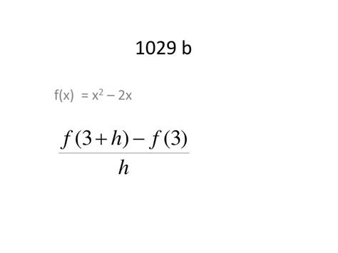
PPT - 1029 b PowerPoint Presentation, free down...
IC 1029B
100_1029 – MoDpilot
IC 1029 Westbound U70391-17 East of Warren, IL ...
NL-1029 | Artistry in Motion
1029 - YouTube