Скачать Учебник Алгебра 10-11 Класс Алимов - bo...
Учебник Математики 10 11 Класс Алимов - rezaton
Учебник Алимова - Алгебра 10-11класс - обсужден...
10 класс купить в интернет-магазине онлайн с до...
Учебник По 10-11 Класс Алимов Торрент - filesnotes
Учебник по алгебре алимов: Учебник Алгебра 10-1...
ГДЗ к учебнику алгебры для 11 класса Алимова Ш....
Алгебра Учебник 10-11 Колягин - standprogrammy
Решебник (гдз) по учебнику алгебра 10-11 класс ...
ГДЗ Алимов 10-11 класс » Решебники ГДЗ онлайн б...
григорьева г.и. алгебра 11 класс - поурочные пл...
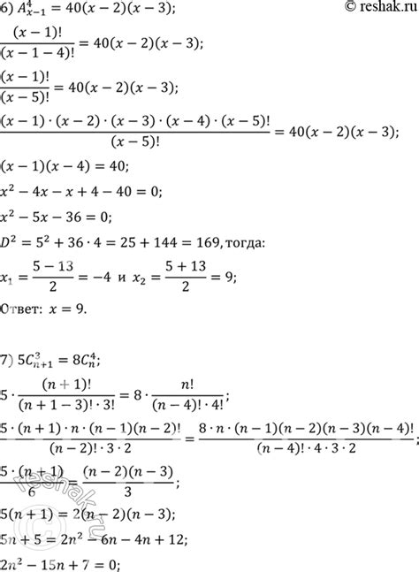
Решение Алимов 10-11 пример №1109
Номер №1011 - решебник по алгебре за 10-11 клас...
ГДЗ по алгебре 10-11 класс Алимов, Колягин Учеб...
Алимов учебник по алгебре 10-11 класс - читать ...
Алгебра 10 начало математического анализа алимо...
Учебник Алимова по алгебре, 10-11 класс. В хоро...
ГДЗ (решебник) по Алгебре 10 класс Алимова - 10...
Учебник алимов алгебра 10: Учебник Алгебра 10-1...
(Решено)Упр.1100 ГДЗ Алимов 10-11 класс по алгебре
"Беларуская мова. Навучальныя і кантрольныя дык...
номер 393 (страница 115) гдз по алгебре 10-11 к...
(Решено)Упр.1135 ГДЗ Алимов 10-11 класс по алгебре
Алгебра 10 класс // Контрольная работа #1 // Ре...
номер 121 (страница 46) гдз по алгебре 10-11 кл...
Алгебра 10-11 класс Алимов ГДЗ решебник
Видеоуроки по учебнику Алимова "Алгебра 10-11" ...
Читать онлайн учебник по алгебре за 10-11 класс...