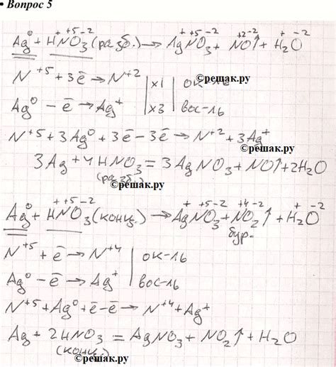
4 Концентрированной Азотной Кислоты С Кальцием ...
Кадмий азотнокислый 4-водный купить в Санкт-Пет...
Кальций азотнокислый 4-водный купить по цене пр...
Нитрат кальция (кальций азотнокислый)
Соли. CaSO4 - Сульфат кальция - презентация онлайн
Кадмий азотнокислый 4-водный "чда", цена в Уфе ...
Кальций для химической промышленности - МИКСЭМ
Кальций азотнокислый 4 в. Ч ГОСТ 4142-77 мешок ...
Азотнокислый кадмий 4-водный ГОСТ 6262-79 купит...
Кадмий азотнокислый 4-водный купить в Екатеринб...
Видео опыты по химии
Кальций азотнокислый 4-водный в СОЮЗХИМПРОМ | С...
Кальций азотнокислый 4-водный Ч
Юнихим - Кальцинированная Сода
Здійсніть перетворення. Натрій карбонат—карбон(...
Соединения кальция. Жесткость воды и способы её...
Кальций Азотнокислый 4 Водный Гост – Telegraph
Кальций
Крізь вапняну воду, що містить кальцій гідрокси...
Кадмий азотнокислый, 4/в купить оптом по выгодн...
АЗОТНАЯ КИСЛОТА 44% ИЗ КАЛЬЦИЕВОЙ СЕЛИТРЫ ЗА 2-...
Кальций азотнокислый 4-водный (нитрат кальция, ...
Триактивный кальций от Атоми - YouTube
ОРГАНИЧЕСКИЙ КАЛЬЦИЙ - YouTube
IV група катіонів - YouTube
Кальций. Физические и химические свойства. Прим...
Как поссорился кальций с калием, а с азотом - п...
Химия и Химики № 3 2012. Кальций - фотографии
Кальций в чистом виде. Самый лучший кальций, ко...
Скандий нитрат азотнокислый 4 водный ХЧ 99,9% -...
Кальций азотнокислый Ca(NO3)2 4H2O(50 гр) в Тол...
4 Способа Получения Ацетата Кальция – Telegraph
Демонстрация 17 "Взаимодействие кальций оксида ...